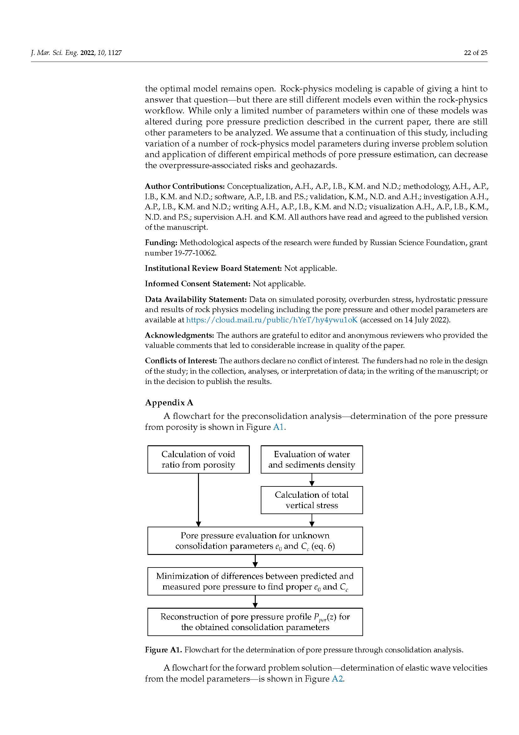
+7 (495) 930-85-52
info@sc-lmsu.com
119607, г. Москва, Раменский бульвар, д. 1